趣答答案

  • 首页
  • 金太阳联考
  • 衡中同卷
  • 衡水金卷
  • 炎德英才大联考
  • 青桐鸣大联考
首页 >
陕西学林2023~2024学年度九年级第一学期第一次阶段性作业 化学试题

陕西学林2023~2024学年度九年级第一学期第一次阶段性作业 化学试题

2023-09-22 13:39:24 54℃

25.下列方案设计、现象和结论都正确的是目的方案设计现象和结论探究干燥C2是否具有将鲜花投入盛有干燥氯气鲜花褪色,说明干燥氯气漂白性的集气瓶中具有漂白性B检...

陕西学林2023~2024学年度九年级第一学期第一次阶段性作业 生物试题

陕西学林2023~2024学年度九年级第一学期第一次阶段性作业 生物试题

2023-09-22 13:36:11 60℃

A.粉红棉S的出现是染色体数目变异的结果B.太空育种依据的原理主要是染色体变异C.穿梭育种利用的主要原理是基因重组,充分地利用了小麦的基因多样性D.核能育种和...

九师联盟·2024届江西红色十校高三9月联考生物试题

九师联盟·2024届江西红色十校高三9月联考生物试题

2023-09-22 13:30:56 25℃

周测卷二1.D解析:本题考查孟德尔杂交实验。在孟德尔所做的两对相对性状的杂交实验中,F1的表型只有1种,A项错误;2表型有4种,比例是9:3:3:1,B项错误;F2的...

九师联盟·2024届江西红色十校高三9月联考语文答案

九师联盟·2024届江西红色十校高三9月联考语文答案

2023-09-22 13:26:00 33℃

他”人。广养个开金有的单一个加地都色到高得可怕感到执风。力量的信心,他紧紧地抓住电线,而且开始切佛得规角不清上,的、流第溪的无底深渊往下落意恶不十。清吧...

九师联盟·2024届江西红色十校高三9月联考英语答案

九师联盟·2024届江西红色十校高三9月联考英语答案

2023-09-22 13:20:11 88℃

EE K L高二北师大(HD)GUIDED WRITING掌上周报微信小程序英语周报智能小助手关造周私(2021-2022)第3期英2021用英语写读后续写编高【写作任务】年限神,阅读下面材...

九师联盟·2024届江西红色十校高三9月联考数学答案

九师联盟·2024届江西红色十校高三9月联考数学答案

2023-09-22 13:16:38 27℃

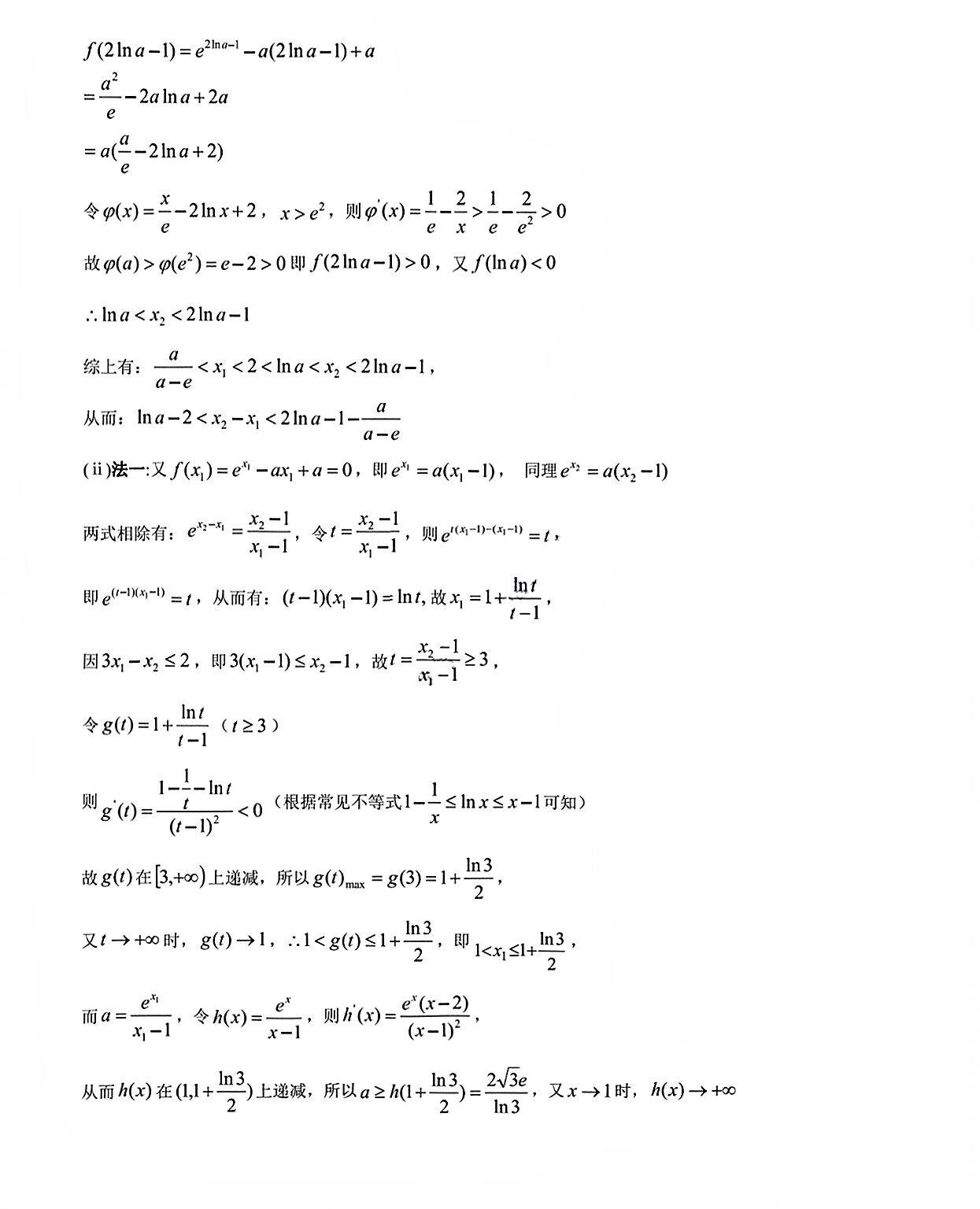
f(2Ina-1)=e2Io-1-a(2Ina-1)+a--2alna+2ae=a(4-21na+2)e令=-21nx+2,x>e2,则p=-2>】-2>0e x ee故p(a)>p(e2)=e-2>0即f(2lna-l)>0,又f(lna)

九师联盟·2024届江西红色十校高三9月联考政治答案

九师联盟·2024届江西红色十校高三9月联考政治答案

2023-09-22 13:12:37 30℃

21,阅读材料,完成下列要求。(8分)家痘教育是教有的开瑞·关乎来成年人的健康成,长和家庭的幸福安宁·也关乎国家发展、民德进步、让会稳定。如何微一名新时代的“...

九师联盟·2024届江西红色十校高三9月联考历史答案

九师联盟·2024届江西红色十校高三9月联考历史答案

2023-09-22 13:08:08 24℃

中华民族的民族自信心和民族自豪感,对远东及世界局势产生了巨大而深远的影响。”下列有关朝鲜停战后出现的形势,若作为这一评价的依据,不准确的是A.国际紧张局...

九师联盟·2024届江西红色十校高三9月联考物理答案

九师联盟·2024届江西红色十校高三9月联考物理答案

2023-09-22 13:03:32 44℃

A.若激光束乃的功率大于激光束P,的功率,则透明介质球将向左侧偏移B若激光束P的功率大于激光束P,的功率,则透明介质球将向右侧偏移C题干条件下激光功率为P一mgc2...

九师联盟·2024届江西红色十校高三9月联考化学答案

九师联盟·2024届江西红色十校高三9月联考化学答案

2023-09-22 13:00:04 25℃

5.用下列装置进行相应实验,不能达到实验目的的是争大常侧夏中.意同(()石棉碎瓷片NH,CI和石蜡油葡萄糖、Ca(OH)棉花化钠混合液减石灰稀盐酸CCI半透膜蒸馏水镁片饱...

‹‹ ‹ 8197 › ››

热门文章

  • [真题密卷]2024-2025学年度学科素养月度测评(二)2英语答案

    [真题密卷]2024-2025学年度学科素养月度测评(二)2英语答案

    2024-11-26 00:40:45 1243

  • 百校名师·2024普通高中高考模拟信息卷(一)英语答案

    百校名师·2024普通高中高考模拟信息卷(一)英语答案

    2023-09-29 10:45:35 1038

  • 全国大联考 2024届高三第四次联考 4LK·(新高考)英语-Y 英语答案

    全国大联考 2024届高三第四次联考 4LK·(新高考)英语-Y 英语答案

    2023-10-10 21:11:25 999

  • 国考1号4·第4套·2024届高三阶段性考试(一)语文答案

    国考1号4·第4套·2024届高三阶段性考试(一)语文答案

    2023-09-22 00:59:59 996

  • 2024届北京专家卷(二)语文试题

    2024届北京专家卷(二)语文试题

    2023-10-22 01:47:13 904

标签列表

  • 衡水金卷先享题答案
  • 2024届高考模拟测试卷答案
  • 安康答案
  • 汉中市答案
  • 299C答案
  • 桂柳鸿图答案
  • 鸿图答案
  • 核心信息呈现答案
  • 新向标教育答案
  • 湖南省普通高中学业水平考试模拟试卷答案
  • 中考模拟演练答案
  • 安徽中考最后三模答案
  • 衡水名师原创高考信息卷答案
  • 考前演练答案
  • 湖南省普通高中学业水平考试模拟试卷(合格性考试)答案
  • 普通高校招生考试冲刺压轴卷答案
  • 冲刺压轴答案
  • 全国统一招生考试冲刺押题卷答案
  • 佩佩教育答案
  • 衡水名师卷答案

网站简介

趣答答案提供金太阳联考,衡中同卷,衡水金卷,炎德英才大联考,衡水名师卷,天一大联考,金科大联考,青桐鸣大联考答案

免责声明:本网站部分内容转摘互联网,如权利人发现存在侵犯版权问题,请及时与本站联系删除。

鲁ICP备2021045568号-2

. .