河南省2024届九年级阶段评估(一)[1L]英语试题

河南省2024届九年级阶段评估(一)[1L]英语试题

81℃

【详解】考查名词。句意:通过专家评审选出的12家参与机构,每一家将获得50万元人民币的设计费。分析句子可知,介词through后面应加名词,而expert evaluation表...

河南省2024届九年级阶段评估(一)[1L]数学试题

河南省2024届九年级阶段评估(一)[1L]数学试题

35℃

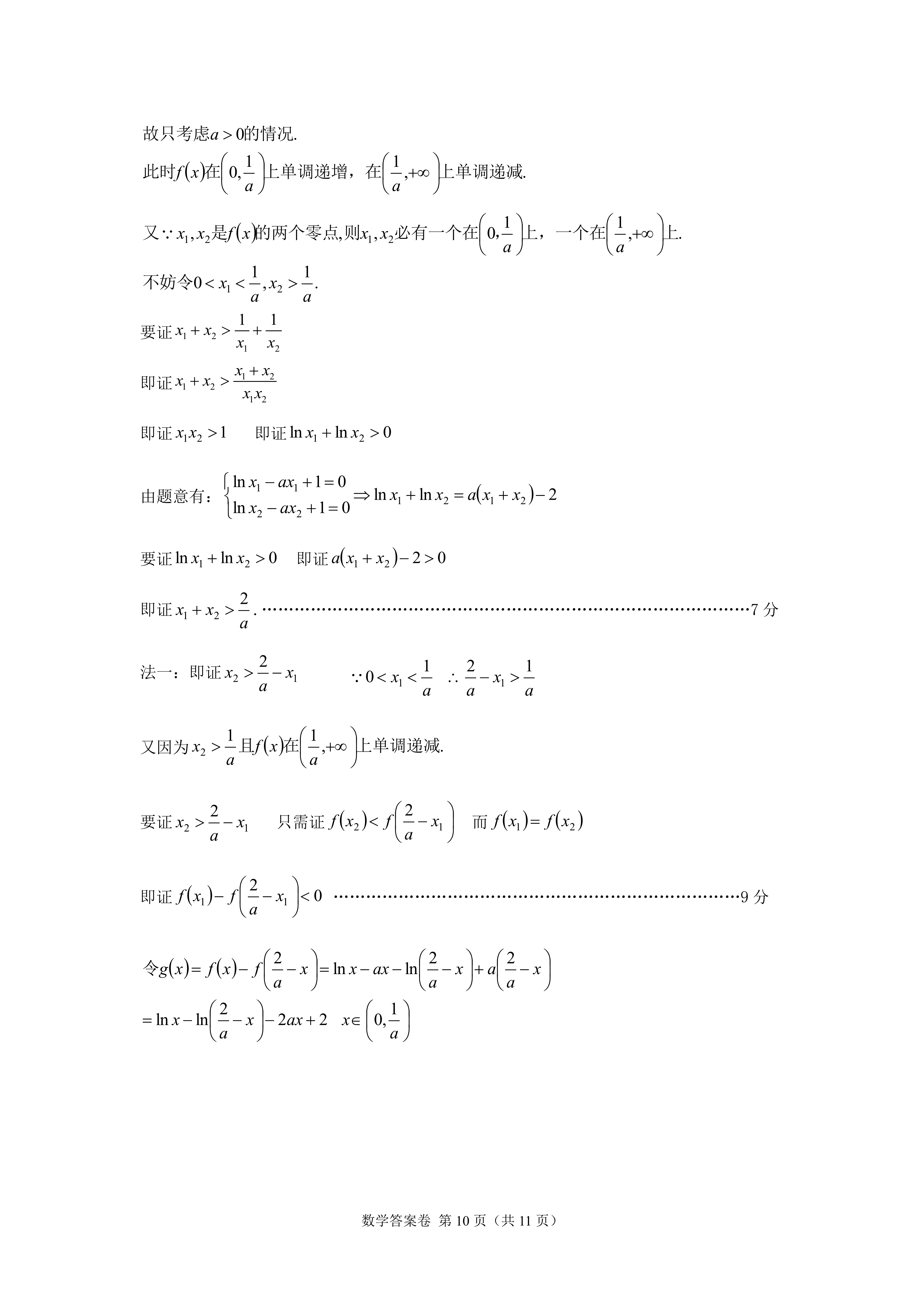
故只考虑a>0的情况.时Q。单因流增,在上华两流战义:是脑特个等点地与x必有一个》.一个4公+11不妨令01+1七1X2即证x+为>+龙xX2即证xx2>1即证lnx+nx2>0由题意有:(...

河南省2024届九年级阶段评估(一)[1L]政治试题

河南省2024届九年级阶段评估(一)[1L]政治试题

36℃

。母.提开存在发展王”,群众路线一如宏全,他们守卫看艹料显示出:且实现12。目前,我们的国家治理体系和治理能力总体上是好的,是有独特优势的,是适应我国国情和...

河南省2024届九年级阶段评估(一)[1L]历史试题

河南省2024届九年级阶段评估(一)[1L]历史试题

40℃

25.莫奈在创作名画《睡莲》时仿佛并不是一个观察者和描者,而是体验着自然界丰富的光,进而用心而非眼去描墓自然世界。下列画作与这种创作精神相似的是AI CAMERA...

河南省2024届九年级阶段评估(一)[1L]物理试题

河南省2024届九年级阶段评估(一)[1L]物理试题

40℃

20.(12分)如图所示的简化模型,主要由光滑曲面轨道AB、光滑竖直圆轨道、水平轨道BD、水平传送带DE和足够长的落地区FG组成,各部分平滑连接,圆轨道最低点B处的入...

河南省2024届九年级阶段评估(一)[1L]化学试题

河南省2024届九年级阶段评估(一)[1L]化学试题

25℃

7.人们对“地沟油”总是避之不及,生怕流向自己的餐桌。“地沟油”的主要成分是油脂。综合利用“地沟油”的一种方法是将“地沟油”中的油脂水解以获取甘油和A.葡萄糖B.高...

河南省2024届九年级阶段评估(一)[1L]生物试题

河南省2024届九年级阶段评估(一)[1L]生物试题

26℃

23.(11分)利用物种多样性控制有害生物,建立多个物种共存的农作模式是农业可持续发展的重24.(12分)目前人胰岛素是通过基因工程生产的,其纯度高、副作用少,利用...

河南省2024届九年级阶段评估(一)[1L]语文答案

河南省2024届九年级阶段评估(一)[1L]语文答案

31℃

合力的同时,心生了新的款南手降,首无是传机的艾春状有角色变到挑成,父费的教养极人多有图此而国节等究者很早就提由7“特素守门美放应理论”:婷水被税为妈数部...